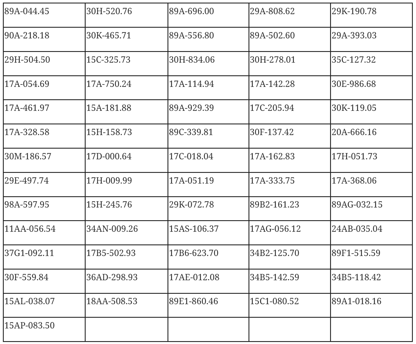
Theo thông báo của Phòng Cảnh sát giao thông Công an tỉnh Hưng Yên, trong thời gian từ ngày 2/2/2026 - 8/2/2026 đã ghi nhận 65 phương tiện vi phạm lỗi điều khiển xe chạy quá tốc độ quy định, gồm 42 phương tiện xe ô tô; 23 phương tiện xe mô tô. Danh sách cụ thể như sau:
![]() |
Phòng Cảnh sát giao thông Công an tỉnh Bắc Ninh thông báo, từ ngày 17/01/2026 đến ngày 01/02/2026 đã phát hiện 217 trường hợp vi phạm lỗi chạy quá tốc độ quy định qua hệ thống camera giám sát giao thông và phương tiện thiết bị kỹ thuật nghiệp vụ. Danh sách cụ thể như sau:
1. Ô tô chạy quá tốc độ quy định (210 trường hợp)
14A-282.36; 14A-659.99; 14A-780.24; 14C-129.70; 14C-355.52; 14H-060.45; 15A-483.20; 15K-620.44; 18C-112.94; 18E-004.88; 19A-713.68; 19C-138.38; 19H-048.16; 20A-359.03; 20C-185.55; 20H-016.73; 22C-096.85; 29A-039.79; 29A-193.59; 29A-739.94; 29B-184.85; 29B-418.81; 29B-604.06; 29C-616.93; 29C-753.62; 29C-875.74; 29D-022.12; 29D-507.26; 29D-570.31; 29E-021.81; 29E-077.29; 29E-095.47; 29E-124.87; 29E-129.90; 29E-303.37; 29E-305.60; 29E-502.67; 29E-525.49; 29E-530.04; 29E-542.31; 29H-371.95; 29H-561.12; 29H-574.71; 29H-658.18; 29H-805.75; 29H-833.09; 29H-910.97; 29H-942.36;
29K-004.78; 29K-033.39; 29K-042.44; 29K-072.26; 29K-092.15; 29K-121.68; 29K-127.31; 29K-230.95; 29K-259.69; 29RM04304; 29V2529; 29Y6573
30A-103.39; 30A-386.68; 30B-012.12; 30B-139.99; 30E-047.55; 30E-339.55; 30E-410.97; 30E-573.17; 30E-891.51; 30E-946.27; 30F-073.73; 30F-281.06; 30F-395.26; 30F-484.65; 30F-563.98; 30F-709.06; 30G-151.70; 30G-292.70; 30G-712.46; 30H-019.54; 30H-197.58; 30H-363.29; 30H-363.29; 30H-385.03; 30H-473.38; 30H-688.23; 30H-726.70; 30H-787.46; 30K-111.25; 30K-239.20; 30K-411.69; 30K-621.12; 30K-671.00; 30K-789.69; 30K-887.87; 30K-946.67;
30L-403.23; 30L-476.17; 30L-489.90; 30L-920.22; 30L-945.10; 30M-125.42; 30M-575.19; 30M-712.48; 30M-815.43; 34A-044.54; 34A-295.39; 34A-474.13;
34B-125.82; 34C-205.19; 34C-239.84; 34C-419.29; 35H-061.89; 36H-061.67;
36K-405.24; 37B-054.74
43C-262.29; 47A-348.97; 49A-508.05; 72A-365.46; 74A-272.58; 78A-279.49; 88A-794.36; 88E-010.68; 89A-327.59; 89A-505.42; 89A - 50542; 89A-537.80; 89A-572.82; 89A-608.68; 89A-804.80; 89C-264.17; 89E-005.71; 89H-043.04; 89H-071.60 ; 90A-369.04
98A-280.44; 98A-319.53; 98A-353.08; 98A-741.62; 98A-811.07; 98A-815.77; 98A-819.52; 98C-292.65; 99A-083.22; 99A-231.91; 99A-258.60; 99A-336.12; 99A-361.58; 99A-369.33; 99A-412.89; 99A-433.88; 99A-446.93; 99A-457.53; 99A-468.95; 99A-484.60; 99A-524.40; 99A-530.85; 99A-559.15; 99A-561.29; 99A-584.81; 99A-614.26; 99A-727.36; 99A-762.85; 99A-811.48; 99A-812.77; 99A-822.50; 99A-851.22; 99A-871.14; 99A-875.80; 99A-890.59; 99A-902.55; 99A-909.52; 99A-909.60; 99A-911.58; 99A-923.91; 99A-950.69; 99A-974.26;
99B-035.72; 99B-052.91; 99B-059.71; 99B-083.98; 99B-095.25; 99B-098.74; 99B-117.36; 99B-140.91; 99B-147.71; 99B-218.18; 99B-266.31; 99C-041.52; 99C-072.22; 99C-076.42; 99C-092.31; 99C-160.96; 99C-207.18; 99C-233.31; 99C-281.67; 99C-284.55; 99C-307.68; 99C-310.98; 99E-006.15; 99E-008.81;
99F-000.13; 99H-025.19; 99H-035.77; 99H-064.52; 99H-071.81; 99H-076.61; 99H-088.93; 99H-114.49
2. Xe máy chạy quá tốc độ (07 trường hợp)
12VA-034.53; 22S1-279.27; 29Z1-137.83; 99AA-116.06; 99C1-071.01; 99D1-557.15; 99E1-367.60
![]() |
| Xe ô tô chạy quá tốc độ. Ảnh: Công an tỉnh Bắc Ninh |
Theo Nghị định 168/2024/NĐ-CP, hành vi điều khiển ô tô chạy quá tốc độ quy định từ 5 - dưới 10 km/h sẽ bị phạt từ 800.000 - 1 triệu đồng; vượt quá tốc độ từ 10 - 20 km/h sẽ bị phạt từ 4 - 6 triệu đồng và trừ 2 điểm bằng lái xe; vượt quá tốc độ trên 20 - 35 km/h sẽ bị phạt từ 6 - 8 triệu đồng và trừ 4 điểm bằng lái xe; vượt quá tốc độ trên 35 km/h sẽ bị phạt từ 12 - 14 triệu đồng và trừ 6 điểm bằng lái xe. Trường hợp điều khiển xe chạy quá tốc độ quy định gây tai nạn giao thông sẽ bị phạt tiền 20 - 22 triệu đồng và trừ 10 điểm giấy phép lái xe.
Với xe máy, nếu vượt quá tốc độ từ 5 - dưới 10 km/h bị phạt tiền từ 400.000 - 600.000 đồng; vượt quá tốc độ từ 10 - 20 km/h bị phạt tiền từ 800.000-1 triệu đồng; vượt quá tốc độ trên 20 km/h bị phạt tiền từ 6-8 triệu đồng.
Để tra cứu phương tiện vi phạm, người dân có thể thực hiện theo các cách dưới đây:
- Tra cứu trên website chính thức của Cục Cảnh sát Giao thông:
Bước 1: Truy cập: https://www.csgt.vn/tra-cuu-phuong-tien-vi-pham.html
Bước 2: Nhập biển số xe, chọn loại phương tiện, nhập mã captcha → bấm Tra cứu.
Bước 3: Nếu có vi phạm sẽ hiện thời gian, địa điểm, lỗi, đơn vị xử lý.
- Tải ứng dụng VNeTraffic - ứng dụng giao thông do Bộ Công an quản lý để kiểm tra thông tin vi phạm hoặc gửi phản ánh trực tiếp đến cơ quan chức năng.
Bước 1: Tải ứng dụng trên Google Play / App Store.
Bước 2: Đăng nhập bằng CCCD gắn chip hoặc số điện thoại.
Bước 3: Vào mục “Tra cứu vi phạm”, nhập biển số xe để xem vi phạm.

















Danh sách 2.162 ô tô, xe máy vi phạm ở Hà Nội, chủ phương tiện có biển số sau nhanh chóng nộp phạt nguội theo Nghị định 168
100 chủ xe không thắt dây an toàn, sử dụng điện thoại… có biển số sau nhanh chóng nộp phạt nguội theo Nghị định 168
442 chủ xe máy có biển số sau nhanh chóng nộp phạt nguội theo Nghị định 168
Uống rượu bia tối 30 Tết, sáng mùng 1 lái xe: Có bị xử phạt nguội theo Nghị định 168 không?
Cùng chuyên mục
Tuần mới (6/4 - 12/4): 3 cung hoàng đạo "ngập" trong tiền bạc, 2 chòm sao cẩn thận hao tài tốn của
Dự báo tài vận tuần mới (6/4 - 12/4): Lộc lá gọi tên ai, con giáp nào cần thắt chặt hầu bao kẻo "cháy ví"?
Rút quẻ may mắn tuần mới (6/4 - 12/4) cho 12 con giáp: Ai tài lộc thăng hoa, ai túi tiền rủng rỉnh?
POV: Góc nhìn "bạn trai" Tiểu Hý, ngắm trọn nhan sắc hot girl ở cự ly 1cm
Quên thịt cá đi, đây mới là đĩa xào "hút view" nhất mâm cơm ngày giao mùa: Làm chưa tới 5 phút mà ngon xuất sắc
Xu hướng dịch chuyển đến Hà Nội, Huế, Nghệ An để sống nở rộ: Làm sao kiếm tiền và "hợp tần số" ở một thành phố khác?