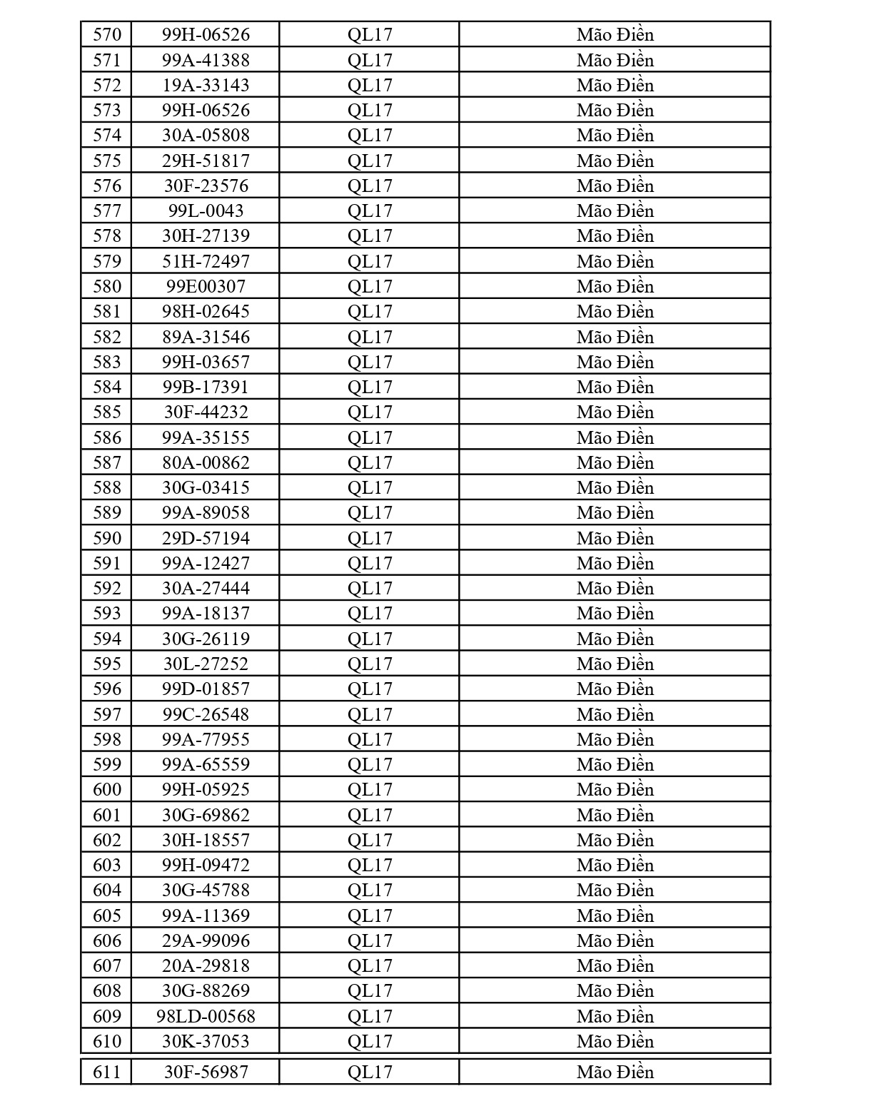
Phòng Cảnh sát giao thông Công an tỉnh Bắc Ninh thông báo, trong tuần từ ngày 13/4/2026 đến ngày 19/4/2026, đã phát hiện 610 trường hợp vi phạm trật tự an toàn giao thông - lỗi chạy quá tốc độ qua hệ thống camera giám sát giao thông và phương tiện, thiết bị kỹ thuật nghiệp vụ.
Danh sách cụ thể như sau:
![]() |
![]() |
![]() |
![]() |
![]() |
![]() |
![]() |
![]() |
![]() |
![]() |
![]() |
![]() |
![]() |
![]() |
![]() |
Theo Nghị định 168/2024/NĐ-CP, hành vi điều khiển ô tô chạy quá tốc độ quy định từ 5 - dưới 10 km/h sẽ bị phạt từ 800.000 - 1 triệu đồng; vượt quá tốc độ từ 10 - 20 km/h sẽ bị phạt từ 4 - 6 triệu đồng và trừ 2 điểm bằng lái xe; vượt quá tốc độ trên 20 - 35 km/h sẽ bị phạt từ 6 - 8 triệu đồng và trừ 4 điểm bằng lái xe; vượt quá tốc độ trên 35 km/h sẽ bị phạt từ 12 - 14 triệu đồng và trừ 6 điểm bằng lái xe. Trường hợp điều khiển xe chạy quá tốc độ quy định gây tai nạn giao thông sẽ bị phạt tiền 20 - 22 triệu đồng và trừ 10 điểm giấy phép lái xe.
Với xe máy, nếu vượt quá tốc độ từ 5 - dưới 10 km/h bị phạt tiền từ 400.000 - 600.000 đồng; vượt quá tốc độ từ 10 - 20 km/h bị phạt tiền từ 800.000 - 1 triệu đồng; vượt quá tốc độ trên 20 km/h bị phạt tiền từ 6 - 8 triệu đồng.
Phòng Cảnh sát giao thông Công an tỉnh Bắc Ninh đề nghị chủ phương tiện, người vi phạm chủ động tra cứu, chấp hành việc xử lý theo quy định. Đồng thời, khuyến cáo người dân nghiêm chỉnh tuân thủ quy định về tốc độ, chú ý quan sát biển báo giao thông, điều khiển phương tiện an toàn, góp phần phòng ngừa tai nạn và bảo đảm trật tự, an toàn giao thông trên địa bàn.
![]() |
| Xe ô tô chạy quá tốc độ. Ảnh: Công an tỉnh Bắc Ninh |
Để tra cứu phương tiện vi phạm, người dân có thể thực hiện theo các cách dưới đây:
- Tra cứu trên website chính thức của Cục Cảnh sát Giao thông:
Bước 1: Truy cập: https://www.csgt.vn/tra-cuu-phuong-tien-vi-pham.html
Bước 2: Nhập biển số xe, chọn loại phương tiện, nhập mã captcha → bấm Tra cứu.
Bước 3: Nếu có vi phạm sẽ hiện thời gian, địa điểm, lỗi, đơn vị xử lý.
- Tải ứng dụng VNeTraffic - ứng dụng giao thông do Bộ Công an quản lý để kiểm tra thông tin vi phạm hoặc gửi phản ánh trực tiếp đến cơ quan chức năng.
Bước 1: Tải ứng dụng trên Google Play / App Store.
Bước 2: Đăng nhập bằng CCCD gắn chip hoặc số điện thoại.
Bước 3: Vào mục “Tra cứu vi phạm”, nhập biển số xe để xem vi phạm.































Danh sách phạt nguội tuần qua: 281 chủ ô tô, xe máy nhanh chóng nộp phạt theo Nghị định 168
281 chủ phương tiện vi phạm mang biển số sau nhanh chóng nộp phạt nguội theo Nghị định 168
138 chủ xe vượt đèn đỏ, không thắt dây an toàn có biển số sau nhanh chóng nộp phạt nguội theo Nghị định 168
675 chủ xe chạy quá tốc độ có biển số sau nhanh chóng nộp phạt nguội theo Nghị định 168
Cùng chuyên mục
Hậu vận không do số phận, nó được quyết định âm thầm từ những năm bạn 40 tuổi
Không cần cao lương mỹ vị, 3 món nộm đơn giản này mới là "vua" bàn ăn ngày nắng nóng
Sau ngày Giỗ tổ Hùng Vương, 2 con giáp này chuẩn bị nhận lộc lớn
Rầm rộ nam ca sĩ Việt tên T.Q hành hung vợ một bác sĩ nổi tiếng
Tiết lộ gây sốc về show Trung Quốc Trang Pháp đang thi: Ekip khóa cửa toilet, để 33 Chị Đẹp nhịn đi vệ sinh hơn 8 tiếng
Người trẻ đồng loạt không sinh con, 30 năm nữa sẽ ra sao? Nhật Bản đang trải qua điều đó