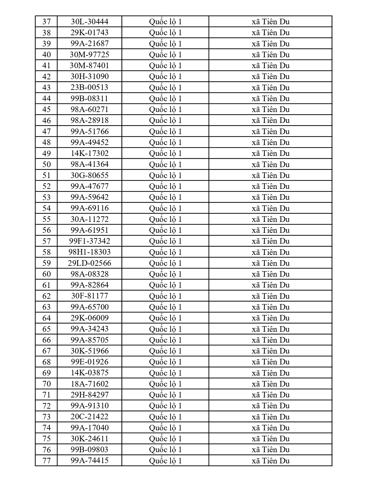
Phòng Cảnh sát giao thông Công an tỉnh Bắc Ninh thông báo, trong tuần từ ngày 20/4/2026 đến ngày 26/4/2026 , đã phát hiện 883 trường hợp vi phạm trật tự an toàn giao thông - lỗi chạy quá tốc độ qua hệ thống camera giám sát giao thông và phương tiện, thiết bị kỹ thuật nghiệp vụ.
Danh sách cụ thể như sau:
![]() |
![]() |
![]() |
![]() |
![]() |
![]() |
![]() |
![]() |
![]() |
![]() |
![]() |
![]() |
![]() |
![]() |
![]() |
![]() |
![]() |
![]() |
![]() |
![]() |
![]() |
![]() |
Theo Nghị định 168/2024/NĐ-CP, hành vi điều khiển ô tô chạy quá tốc độ quy định từ 5 - dưới 10 km/h sẽ bị phạt từ 800.000 - 1 triệu đồng; vượt quá tốc độ từ 10 - 20 km/h sẽ bị phạt từ 4 - 6 triệu đồng và trừ 2 điểm bằng lái xe; vượt quá tốc độ trên 20 - 35 km/h sẽ bị phạt từ 6 - 8 triệu đồng và trừ 4 điểm bằng lái xe; vượt quá tốc độ trên 35 km/h sẽ bị phạt từ 12 - 14 triệu đồng và trừ 6 điểm bằng lái xe. Trường hợp điều khiển xe chạy quá tốc độ quy định gây tai nạn giao thông sẽ bị phạt tiền 20 - 22 triệu đồng và trừ 10 điểm giấy phép lái xe.
Với xe máy, nếu vượt quá tốc độ từ 5 - dưới 10 km/h bị phạt tiền từ 400.000 - 600.000 đồng; vượt quá tốc độ từ 10 - 20 km/h bị phạt tiền từ 800.000 - 1 triệu đồng; vượt quá tốc độ trên 20 km/h bị phạt tiền từ 6 - 8 triệu đồng.
Phòng Cảnh sát giao thông Công an tỉnh Bắc Ninh đề nghị chủ phương tiện, người vi phạm chủ động tra cứu, chấp hành việc xử lý theo quy định. Đồng thời, khuyến cáo người dân nghiêm chỉnh tuân thủ quy định về tốc độ, chú ý quan sát biển báo giao thông, điều khiển phương tiện an toàn, góp phần phòng ngừa tai nạn và bảo đảm trật tự, an toàn giao thông trên địa bàn.
![]() |
| Xe ô tô chạy quá tốc độ. Ảnh: Phòng CSGT Công an tỉnh Bắc Ninh |
Để tra cứu phương tiện vi phạm, người dân có thể thực hiện theo các cách dưới đây:
- Tra cứu trên website chính thức của Cục Cảnh sát Giao thông:
Bước 1: Truy cập: https://www.csgt.vn/tra-cuu-phuong-tien-vi-pham.html
Bước 2: Nhập biển số xe, chọn loại phương tiện, nhập mã captcha → bấm Tra cứu.
Bước 3: Nếu có vi phạm sẽ hiện thời gian, địa điểm, lỗi, đơn vị xử lý.
- Tải ứng dụng VNeTraffic - ứng dụng giao thông do Bộ Công an quản lý để kiểm tra thông tin vi phạm hoặc gửi phản ánh trực tiếp đến cơ quan chức năng.
Bước 1: Tải ứng dụng trên Google Play / App Store.
Bước 2: Đăng nhập bằng CCCD gắn chip hoặc số điện thoại.
Bước 3: Vào mục “Tra cứu vi phạm”, nhập biển số xe để xem vi phạm.







































Danh sách phạt nguội tuần qua: Các chủ ô tô, xe máy nhanh chóng nộp phạt theo Nghị định 168
Tất cả người dân khi nhận được tin nhắn "phạt nguội" dạng này, cần xóa ngay lập tức
Gần 800 chủ ô tô, xe máy trong danh sách dưới đây nhanh chóng nộp phạt nguội theo Nghị định 168
793 chủ xe chạy quá tốc độ có biển số sau nhanh chóng nộp phạt nguội theo Nghị định 168
Cùng chuyên mục
Chiếc iPhone đã bị "khai tử" tăng giá
Bất ngờ lý do người đàn ông nằm trên capo ô tô đang chạy giữa phố Hà Nội
Thêm thủ đoạn lừa đảo mới, chưa từng xuất hiện trên Zalo, ai cũng có thể là nạn nhân
Á hậu Thuý Quỳnh và thiếu gia Đức Phạm đã "toang"?
Hé lộ đoạn ghi âm lật ngược tình thế trong vụ đạo diễn bị đánh chết trước mặt con trai
“Thanh âm thời gian – Đi để trở về”: Hành trình nửa thế kỷ của Trường THCS Phổ Thuận